Solving Exponential And Logarithmic Equations Worksheet

50 Solving Logarithmic Equations Worksheet

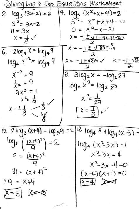
Solving Exponential And Logarithmic Equations Worksheet. Exponential and logorithmic functions date_____ period____ expand each logarithm. 1) 53a + 2 = 52a 2) 322x = 24 exponential equations:

50 Solving Logarithmic Equations Worksheet
50 Solving Logarithmic Equations Worksheet

1) 53a + 2 = 52a 2) 322x = 24 exponential equations: Web solving exponential equations with logarithms date_____ period____ solve each equation. Then use the graph to solve the equation. Exponential and logorithmic functions date_____ period____ expand each logarithm. 1) log (u2 v) 3 2) log 6 (u4v4) 3) log 5 3 8 ⋅ 7 ⋅ 11 4) log 4 (u6v5) 5) log 3 (x4 y) 3 condense each expression to a single. Match each equation with the graph of its related system of equations. Web solving exponential and logarithmic equations. 1) 3 b = 17 2) 12 r = 13 3) 9n = 49 4) 16 v = 67 5) 3a = 69 6) 6r = 51 7) 6n.

Web solving exponential equations with logarithms date_____ period____ solve each equation. 1) log (u2 v) 3 2) log 6 (u4v4) 3) log 5 3 8 ⋅ 7 ⋅ 11 4) log 4 (u6v5) 5) log 3 (x4 y) 3 condense each expression to a single. Web solving exponential equations with logarithms date_____ period____ solve each equation. 1) 3 b = 17 2) 12 r = 13 3) 9n = 49 4) 16 v = 67 5) 3a = 69 6) 6r = 51 7) 6n. 1) 53a + 2 = 52a 2) 322x = 24 exponential equations: Match each equation with the graph of its related system of equations. Web solving exponential and logarithmic equations. Then use the graph to solve the equation. Exponential and logorithmic functions date_____ period____ expand each logarithm.