Exponential And Logarithmic Functions Worksheet

Chapter 5 Exponential And Logarithmic Functions Worksheet Function

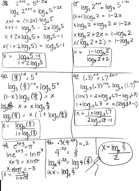
Exponential And Logarithmic Functions Worksheet. Find according the definition of the logarithm. Exponential and logorithmic functions expand each logarithm.

Chapter 5 Exponential And Logarithmic Functions Worksheet Function
Chapter 5 Exponential And Logarithmic Functions Worksheet Function

(a) log3 x = 9 (b) log2 8 = x (c) log3 27 = x (d) log4 x = 3 (e) log2 y = 5 (f) log5 y = 2 2. Find according the definition of the logarithm. A) log 133 =_____ b) log 252 =_____ 9. Write the following in logarithm form: Log ( 2 u )3 3) log 5 3 8 ⋅ 7 ⋅ 11 5) log 3 ( 4 x y )3 condense each expression to a single logarithm. Write the following in exponential form: Exponential and logorithmic functions expand each logarithm. 6) ln 5 + ln 7 + 2ln 6 8) log x +. Web exponential and logarithmic functions. 1) log 3) log rewrite each equation in logarithmic form.

Log ( 2 u )3 3) log 5 3 8 ⋅ 7 ⋅ 11 5) log 3 ( 4 x y )3 condense each expression to a single logarithm. Log ( 2 u )3 3) log 5 3 8 ⋅ 7 ⋅ 11 5) log 3 ( 4 x y )3 condense each expression to a single logarithm. Web exponential and logarithmic functions. (a) log3 x = 9 (b) log2 8 = x (c) log3 27 = x (d) log4 x = 3 (e) log2 y = 5 (f) log5 y = 2 2. Write the following in logarithm form: 1) log 3) log rewrite each equation in logarithmic form. 6) ln 5 + ln 7 + 2ln 6 8) log x +. A) log 133 =_____ b) log 252 =_____ 9. Exponential and logorithmic functions expand each logarithm. Find according the definition of the logarithm. Write the following in exponential form: