Word To Binary

How to Write Words and Sentences in Binary (In Less than 5 Min) YouTube

Word To Binary. You might like to try to write in binary (using zeros and ones) in the right box, and see. Binary code uses the digits of 0 and 1 (binary numbers).

How to Write Words and Sentences in Binary (In Less than 5 Min) YouTube
How to Write Words and Sentences in Binary (In Less than 5 Min) YouTube

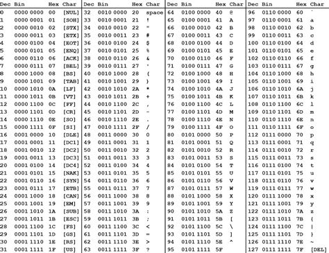
You can either use an online converter (like the one. Web ️ how do you convert text to binary? Computers store all characters as numbers stored as binary data. Binary code uses the digits of 0 and 1 (binary numbers). Click on the url button, enter url and submit. Use ascii table to get ascii code from character. P => 80 = 2 6 +2 4 = 01010000 2 l => 108 = 2 6 +2 5 +2 3. Web convert words to binary allows loading the text url, which loads text and converts to binary number. Web example convert plant trees text to binary ascii code: This translator allows you to convert between binary and text.

Click on the url button, enter url and submit. Computers store all characters as numbers stored as binary data. This translator allows you to convert between binary and text. Web convert text to binary. You might like to try to write in binary (using zeros and ones) in the right box, and see. To convert english words (or any ascii text) to binary, you have two options: Binary code uses the digits of 0 and 1 (binary numbers). Web ️ how do you convert text to binary? Click on the url button, enter url and submit. Web example convert plant trees text to binary ascii code: You can either use an online converter (like the one.