Sample Will Template Maryland

Maryland (MD) Drivers License PSD Template Download IDViking Best

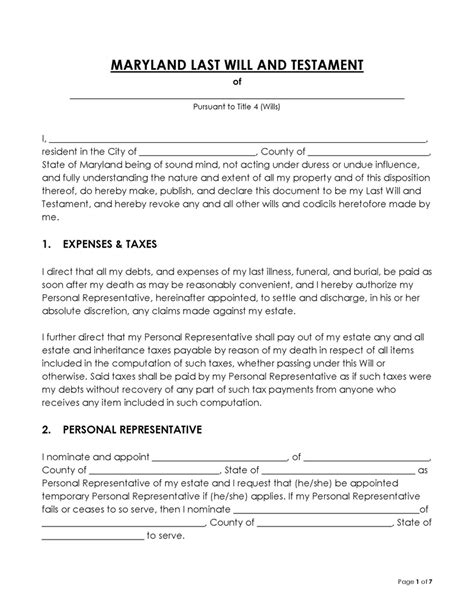
Sample Will Template Maryland. Direct that all my debts, and expenses of my last illness, funeral, and burial, be paid as soon after. Requirements for a valid will.

Maryland (MD) Drivers License PSD Template Download IDViking Best
Maryland (MD) Drivers License PSD Template Download IDViking Best

Web a will is a written document directing the disposition of a person's assets after death. Requirements for a valid will. Direct that all my debts, and expenses of my last illness, funeral, and burial, be paid as soon after.

Requirements for a valid will. Web a will is a written document directing the disposition of a person's assets after death. Direct that all my debts, and expenses of my last illness, funeral, and burial, be paid as soon after. Requirements for a valid will.