Arizona Will Template

Free Arizona Living Will Form PDF eForms

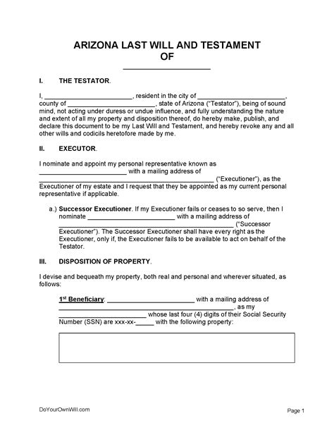
Arizona Will Template. Web we provide a free template for an arizona last will and testament on this page available for download in pdf and.

Free Arizona Living Will Form PDF eForms
Free Arizona Living Will Form PDF eForms

Web we provide a free template for an arizona last will and testament on this page available for download in pdf and.

Web we provide a free template for an arizona last will and testament on this page available for download in pdf and. Web we provide a free template for an arizona last will and testament on this page available for download in pdf and.