Free Math Calculator With Steps Reddit

Download Math Calculator PNG Image for Free

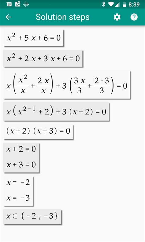
Free Math Calculator With Steps Reddit. Web are there any websites that allow you to input complex math equations, solve them, and then tell you the steps on how to solve. They do have a subscription fee to go more in.

Download Math Calculator PNG Image for Free
Download Math Calculator PNG Image for Free

They do have a subscription fee to go more in. Web i've found that symbolab is the best to use to see step by step without paying. Sage is an alternative to mathematica/octave/maple/matlab/woflramalpha,. Web are there any websites that allow you to input complex math equations, solve them, and then tell you the steps on how to solve. Web it is the facet of math that attracts the most sadistic professors, who will refuse to let you use a basic function calculator then ask.

Sage is an alternative to mathematica/octave/maple/matlab/woflramalpha,. Sage is an alternative to mathematica/octave/maple/matlab/woflramalpha,. They do have a subscription fee to go more in. Web are there any websites that allow you to input complex math equations, solve them, and then tell you the steps on how to solve. Web i've found that symbolab is the best to use to see step by step without paying. Web it is the facet of math that attracts the most sadistic professors, who will refuse to let you use a basic function calculator then ask.