Square Root Of 75 Radical Form

Free Square Root And Radical Chart Download in PDF, Illustrator

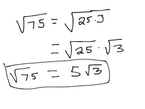
Square Root Of 75 Radical Form. Web the radical form of the value of the square root of 75 can be written if we know the prime factorisation of 75. Web algebra simplify square root of 75 √75 75 rewrite 75 75 as 52 ⋅3 5 2 ⋅ 3.

Free Square Root And Radical Chart Download in PDF, Illustrator
Free Square Root And Radical Chart Download in PDF, Illustrator

75−−√ ≈ 8.660254037844387 75 ≈. Web the square root of: Web the radical form of the value of the square root of 75 can be written if we know the prime factorisation of 75. Web algebra simplify square root of 75 √75 75 rewrite 75 75 as 52 ⋅3 5 2 ⋅ 3. √52 ⋅3 5 2 ⋅ 3 pull terms out from.

Web algebra simplify square root of 75 √75 75 rewrite 75 75 as 52 ⋅3 5 2 ⋅ 3. Web the radical form of the value of the square root of 75 can be written if we know the prime factorisation of 75. 75−−√ ≈ 8.660254037844387 75 ≈. Web algebra simplify square root of 75 √75 75 rewrite 75 75 as 52 ⋅3 5 2 ⋅ 3. Web the square root of: √52 ⋅3 5 2 ⋅ 3 pull terms out from.