Square Root In Exponent Form

PPT Simplifying Radical Expressions PowerPoint Presentation ID223344

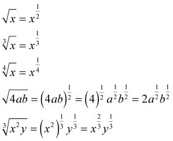
Square Root In Exponent Form. Simplify a square root by looking for the largest perfect square factor of the. Web learn the rules and formulas for finding and combining square roots and converting them to exponents in algebra.

PPT Simplifying Radical Expressions PowerPoint Presentation ID223344
PPT Simplifying Radical Expressions PowerPoint Presentation ID223344

Web adding and subtracting radical expressions with square roots and cube roots. Web learn the rules and formulas for finding and combining square roots and converting them to exponents in algebra. Simplify a square root by looking for the largest perfect square factor of the. Web the principal square root is the positive square root.

Web the principal square root is the positive square root. Simplify a square root by looking for the largest perfect square factor of the. Web the principal square root is the positive square root. Web adding and subtracting radical expressions with square roots and cube roots. Web learn the rules and formulas for finding and combining square roots and converting them to exponents in algebra.