Complex Polar Form

Complex Number Polar Form / Lesson 2 Polar Form of Complex Numbers

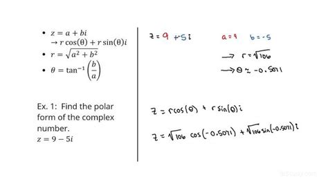
Complex Polar Form. The product of a complex number z = x + yi and its conjugate is known as the absolute square. Web the polar form of a complex number expresses a number in terms of an angle θ and its distance from the origin r.

Complex Number Polar Form / Lesson 2 Polar Form of Complex Numbers
Complex Number Polar Form / Lesson 2 Polar Form of Complex Numbers

Web the polar form of a complex number is another way to represent a complex number. Web polar & rectangular forms of complex numbers google classroom about transcript learn how to convert a complex number from rectangular form to polar form. The horizontal axis is the real axis and the. Web for details on argument and magnitude, see the section on polar form. Given a complex number in rectangular form expressed as z = x + y i, we use the same. Web the polar form of a complex number expresses a number in terms of an angle θ and its distance from the origin r. Web the polar form of a complex number is a different way to represent a complex number apart from rectangular form. The product of a complex number z = x + yi and its conjugate is known as the absolute square. The form z = a + bi is called the rectangular coordinate form of a complex number. Usually, we represent the complex numbers, in the form of z = x+iy where ‘i’ the imaginary number.

Web polar & rectangular forms of complex numbers google classroom about transcript learn how to convert a complex number from rectangular form to polar form. Web the polar form of a complex number expresses a number in terms of an angle θ and its distance from the origin r. The product of a complex number z = x + yi and its conjugate is known as the absolute square. Web for details on argument and magnitude, see the section on polar form. Usually, we represent the complex numbers, in the form of z = x+iy where ‘i’ the imaginary number. Given a complex number in rectangular form expressed as z = x + y i, we use the same. Web the polar form of a complex number is a different way to represent a complex number apart from rectangular form. Web the polar form of a complex number is another way to represent a complex number. The form z = a + bi is called the rectangular coordinate form of a complex number. The horizontal axis is the real axis and the. Web polar & rectangular forms of complex numbers google classroom about transcript learn how to convert a complex number from rectangular form to polar form.