Erf Meaning Math

Integral of erf(x) Integral of error Function YouTube

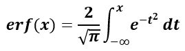
Erf Meaning Math. Of course, it is closely related to the normal cdf. Web the error function erf is defined by.

Integral of erf(x) Integral of error Function YouTube
Integral of erf(x) Integral of error Function YouTube

Of course, it is closely related to the normal cdf. Φ ( x) = p ( n < x). Web the error function erf is defined by. Erf ( x) = 2 π ∫ 0 x e − t 2 d t.

Erf ( x) = 2 π ∫ 0 x e − t 2 d t. Φ ( x) = p ( n < x). Of course, it is closely related to the normal cdf. Web the error function erf is defined by. Erf ( x) = 2 π ∫ 0 x e − t 2 d t.