Discrete Math Induction

Discrete Mathematics Proof by Induction YouTube

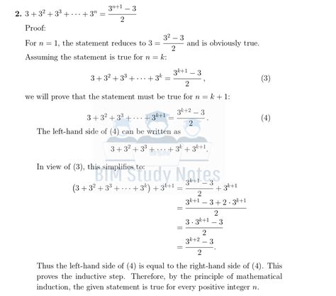
Discrete Math Induction. We have to complete three. Web mathematical induction can be used to prove that a statement about n is true for all integers n ≥ 1.

Discrete Mathematics Proof by Induction YouTube
Discrete Mathematics Proof by Induction YouTube

Web mathematical induction can be used to prove that a statement about n is true for all integers n ≥ 1. We have to complete three.

We have to complete three. We have to complete three. Web mathematical induction can be used to prove that a statement about n is true for all integers n ≥ 1.