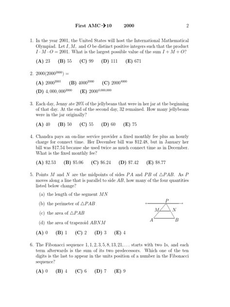
Amc 10 Math Problems

amc 10 problems

Amc 10 Math Problems. Each question is followed by answers marked a, b, c, d. Web you can find problems and solutions from the math contests run by the american mathematics competitions on the.

amc 10 problems
amc 10 problems

Free amc trainer and math learning: Web 2022 amc 10a problems. Web you can find problems and solutions from the math contests run by the american mathematics competitions on the. Getting ready for the amc 10? Our online amc 10 problem series. Each question is followed by answers marked a, b, c, d.

Web you can find problems and solutions from the math contests run by the american mathematics competitions on the. Each question is followed by answers marked a, b, c, d. Free amc trainer and math learning: Our online amc 10 problem series. Getting ready for the amc 10? Web you can find problems and solutions from the math contests run by the american mathematics competitions on the. Web 2022 amc 10a problems.